KAYONGMEDIA.TECH - Contoh Soal dan Pembahasan Momentum dan tumbukan, Materi Fisika kelas 2 SMA.
Mencakup hukum kekekalan momentum, penggunaan hukum kekekalan energi mekanik dan beberapa kasus tumbukan. Tumbukan lenting sempurna, tumbukan tidak lenting atau tidak lenting sama sekali, dan tumbukan lenting sebagian dengan koefisien restituti.
Soal No. 1
Sebuah balok 2 kg yang diam di atas lantai di tembak dengan sebutir peluru bermassa 100 gram dengan kecepatan 100 m/s.
Jika peluru menembus balok dan kecepatannya berubah menjadi 50 m/s, tentukan kecepatan gerak balok!
Pembahasan
Hukum kekekalan momentum :
Soal No. 2
Peluru bermassa 100 gram dengan kelajuan 200 m/s menumbuk balok bermassa 1900 gram yang diam dan bersarang di dalamnya.
Pembahasan
Hukum kekekalan momentum dengan kondisi kecepatan balok sebelum tumbukan nol dan kecepatan balok setelah tumbukan sama dengan kecepatan peluru setelah tumbukan, namakan v'
Soal No. 3
Bola pertama bergerak ke arah kanan dengan kelajuan 20 m/s mengejar bola kedua yang bergerak dengan kelajuan 10 m/s ke kanan sehingga terjadi tumbukan lenting sempurna.
Jika massa kedua bola adalah sama, masing-masing sebesar 1 kg, tentukan kecepatan masing-masing bola setelah tumbukan!
Pembahasan
Terlebih dahulu buat perjanjian tanda :
Arah kanan (+)
Arah kiri (−)
Dari hukum Kekekalan Momentum didapat persamaan :
(Persamaan 1)
Koefisien restituti (e) untuk tumbukan lenting sempurna adalah e = 1.
(Persamaan 2)
Gabungan persamaan 1 dan 2 :
Soal No. 4
Bola merah bermassa 1 kg bergerak ke kanan dengan kelajuan 20 m/s menumbuk bola hijau bermassa 1 kg yang diam di atas lantai.
Tentukan kecepatan masing-masing bola setelah tumbukan jika terjadi tumbukan tidak lenting (sama sekali)!
Pembahasan
Kecepatan benda yang bertumbukan tidak lenting sempurna setelah bertumbukan adalah sama, sehingga v'1 = v'2 = v'
Dari hukum Kekekalan Momentum di dapat :
Bola hitam dan bola hijau saling mendekat dan bertumbukan seperti diperlihatkan gambar di bawah!
Jika koefisien restituti tumbukan adalah 0,5 dan massa masing-masing bola adalah sama sebesar 1 kg, tentukan kelajuan kedua bola setelah tumbukan!
Pembahasan
(Persamaan 1)
(Persamaan 2)
Gabungan 1 dan 2 :
Soal No. 6
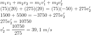
Dua orang anak masing-masing A bermassa 75 kg dan B bermassa 50 kg menaiki perahu yang bergerak ke arah kanan dengan kelajuan 20 m/s.
Jika massa perahu adalah 225 kg tentukan kelajuan perahu saat :
a) anak A meloncat ke belakang dengan kelajuan 50 m/s
b) anak B meloncat ke arah depan dengan kelajuan 50 m/s
Pembahasan
a) anak A meloncat ke belakang dengan kelajuan 50 m/s
Saat anak A meloncat ke belakang maka dua kelompok yang terlibat adalah anak A dengan massa sebut saja m1 = 75 kg dan anak B bergabung dengan perahu dengan total massa sebut saja m2 = 225 + 50 = 275 kg. Kecepatan awal anak A dan B adalah sama dengan kecepatan perahu = 20 m/s
Dengan demikian kecepatan perahu setelah anak A melompat ke belakang sekaligus kecepatan anak B yang masih naik perahu adalah 39,1 m/s
b) anak B meloncat ke arah depan dengan kelajuan 50 m/s
Saat anak B meloncat ke depan, maka dua kelompok yang terlibat adalah anak B dengan massa sebut saja m1 = 50 kg dan anak A bersama perahu sebut saja m2 = 225 + 75 = 300 kg.
Dengan demikian kecepatan perahu sekaligus kecepatan anak A yang masih naik perahu setelah anak B meloncat ke depan adalah 15 m/s
Catatan : Tanda (+) untuk kecepatan jika anak melompat searah gerak perahu, tanda (−) jika anak melompat berlawanan arah dengan gerak perahu.
Soal No. 7
Bola bermassa M = 1,90 kg digantung dengan seutas tali dalam posisi diam seperti gambar dibawah.
Sebuah peluru bermassa m = 0,10 kg ditembakkan hingga bersarang di dalam bola. Jika posisi bola mengalami kenaikkan sebesar h = 20 cm dan percepatan gravitasi bumi adalah 10 m/s2 tentukan kelajuan peluru saat mengenai bola!
Pembahasan
Hukum kekekalan momentum, dengan kondisi kecepatan bola sebelum tumbukan nol (vb = 0) dan kecepatan bola dan peluru setelah tumbukan adalah sama (vb' = vp' = v')
Hukum kekekalan energi mekanik untuk mencari v' :
Bola bertali m memiliki massa 0,1 kg dilepaskan dari kondisi diam hingga menumbuk balok M = 1,9 kg seperti diperlihatkan gambar berikut!
Jika bola m dan balok M bergerak bersama setelah bertumbukan dan panjang tali pengikat bola m adalah 80 cm, tentukan kelajuan keduanya!
Pembahasan
Cari terlebih dahulu kecepatan bola m saat menumbuk balok M
Hukum kekakalan momentum :
Soal No. 9
Bola karet dijatuhkan dari ketinggian 1 meter seperti gambar berikut !
Jika bola memantul kembali ke atas dengan ketingggian 0,6 meter, tentukan tinggi pantulan bola berikutnya!
Pembahasan
Soal Nomor 10
Sebuah granat yang diam tiba-tiba meledak dan pecah menjadi 2 bagian yang bergerak dalam arah berlawanan. Perbandingan massa kedua bagian itu adalah m1 : m2 = 2 : 3. Bila energi yang dibebaskan adalah 5 × 105 joule, maka perbandingan energi kinetik pecahan granat kedua dan pecahan pertama adalah.....
A. 4 : 9
B. 2 : 3
C. 9 : 4
D. 3 : 2
E. 1 : 2
(Modifikasi Soal UMPTN Tahun 1991)
Pembahasan
Data :
m1 : m2 = 2 : 3
Benda mula-mula diam
v1 = 0
v2 = 0
Dari hukum kekekalan momentum
m1v1 + m2 = m1v1' + m2'
2(0) + 3(0) = 2 v1' + 32'
0 = 2 v1' + 32'
2 v1' = − 3 v2'
v1' = − 3/2 v2'


























